补硒抗癌文献(补硒对抗癌有什么作用)
高血压是导致我国居民心血管病发病和死亡增加的首要且可改变的危险因素,大约50%人因此患上心血管疾病,20%的人因高血压引起的心血管病死亡。
随着我国人口老龄化和心血管病危险因素水平上升,心血管病的发病率和死亡率持续升高。

饮食不规律、吸烟、喝酒、作息混乱……这些不良的生活习惯也导致着高血压逐渐年轻化。
《中国高血压防治现状蓝皮书2018》中公布的数据显示,中国成人高血压患病率从2002年的18.8%上升到2015年的27.90%,患病人数已达2.45亿。
相当于我们身边的每4个成年人,就有1人有高血压。
DASH饮食的由来
DASH饮食,被译为“得舒饮食”,是由1997年美国的一项大型高血压防治计划发展出来的饮食方式,被认为是目前高血压患者最佳饮食方案之一。
它几乎和地中海饮食齐名,同样被称为“世界最健康饮食”的饮食模式。

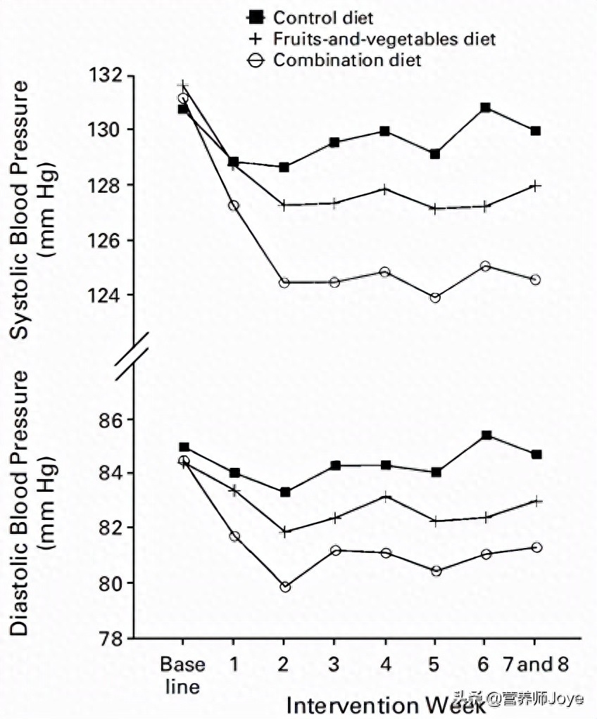
1997年发表在《新英格兰医学杂志》上的一篇文章,研究者尝试仅仅通过饮食来控制血压,他们设立了三种饮食模式:常规饮食,蔬菜水果饮食,蔬菜水果+低脂饮食。

经实验对比,蔬菜水果+低脂的饮食模式对降低血压的效果更明显
后两种饮食都能在参与者连续进食2周左右后降低血压,而且第三种饮食的降压效果更强,这也就演变成了我们现在的DASH饮食[1]。
DASH饮食为什么健康?
DASH饮食的健康益处可能来自于增加了新鲜水果蔬菜中的有益成分,比如高钾、高镁、高膳食纤维,与此同时减少了饱和脂肪和添加糖类的摄入。
在之后的研究中,研究者们又尝试了低钠的DASH饮食发现其对血压的控制效果更好,该研究成果被发表在2001年的《新英格兰医学杂志》上[2]。

同年,发表在美国心脏学会《高血压》杂志上的研究将DASH饮食疗法,作为单纯性收缩性高血压初期的一线疗法,并证明了其有效性[3]。

在随后近20年的临床推广中,DASH饮食被认为是有效降低血压的饮食干预措施。
一项meta分析研究综合为探究DASH饮食对高血压的影响,汇总了30项DASH饮食随机对照试验,对比了5545名参与者的实验数据,结果表明,采用DASH饮食可显著降低血压,在结合每日低钠摄入的情况下,具有更好的效果[4]。
科学家们都说好的饮食方式,
到底是什么样的呢?

食物
每日食用量
每份内容举例
谷物
6-8份
130克干燥谷物或半碗米饭、
面条或1片全麦面包
蔬菜
4-5份
220g新鲜绿叶蔬菜
水果
4-5份
1个中等大小水果,例如苹果、香蕉、猕猴桃
奶制品
2-3份
1个中等大小水果,
例如苹果、香蕉、猕猴桃
瘦肉类、家禽和鱼
30g猪肉、牛肉、鱼肉或1个鸡蛋
脂肪和油类
每天2-3份
约5ml植物油
钠
≤6g
坚果、种子和豆类
每周4-5份
80g坚果或120g煮熟的豆类
甜食
每周
15g糖、果酱或1小块蛋糕
DASH饮食引入我国后,在实际操作过程中,不同的操作者也会结合我国的饮食习惯进行调整。
有研究用改良的限盐DASH饮食进行干预,结果发现,改良后的饮食同样可有效降低原发性高血压和(或)糖尿病患者的血压和血糖[5]。
提倡DASH饮食,其实质就是科学的饮食和合理的营养,在众多营养素中,硒作为必需微量元素,一旦缺乏,患高血压的可能性越大。

每个人的身高、体重、年龄各有差异,无法按照同样具体的量来吃,但是我们只要记住DASH的饮食原则,每天改变一点点,就离健康越来越近了。
中国人的DASH饮食,可以参考这几点:
主食 用一半全谷物或粗杂粮来替代精制米面。
蔬菜 逐步增加新鲜蔬菜、水果的量,特别是绿叶蔬菜。
奶 喝牛奶、吃奶制品,但是要注意低糖。
肉 选择瘦肉、禽类和鱼虾类。
脂肪 减少烹调用油的量,橄榄油、牛油果油、亚麻籽油都是比较好的选择。
盐 控制盐的量及腌制的食物,盐的摄入量<5克一天。
坚果 可以适量吃烘焙的原味坚果,不要选择油炸或调味的。
另外,食材上可以多选择富含镁、钾、硒等矿物质的食物。
富含钾的食物有助于控制血压,比如香蕉、芹菜等等。

硒作为一种重要的抗氧化剂,对血管功能具有?;ぷ饔?,而且通过合理、科学地补硒,可降低患上心血管疾病和高血压的几率[6]。
■ 参考文献 (滑动查看)
[1] Appel L J , Moore T J , Obarzanek E , et al. A clinical trial of the effects of dietary patterns on blood pressure. DASH Collaborative Research Group.[J]. The New England journal of medicine, 336(16):1117-1124.
[2] Sacks FM, Svetkey LP, Vollmer WM, Appel LJ, Bray GA, Harsha D, Obarzanek E, Conlin PR, Miller ER 3rd, Simons-Morton DG, Karanja N, Lin PH; DASH-Sodium Collaborative Research Group. Effects on blood pressure of reduced dietary sodium and the Dietary Approaches to Stop Hypertension (DASH) diet. DASH-Sodium Collaborative Research Group. N Engl J Med. 2001 Jan 4;344(1):3-10. doi: 10.1056/NEJM2101. PMID: 11136953.
