补硒药品和保健品(补硒药品和保健品区别)
全民科学补硒日
教您如何科学补硒

今天是第7个全民科学补硒日
普及补硒知识
提升全民健康
Scientific SeleniumSupplements
一、硒是什么
What’s selenium


1973年,联合国世界卫生组织宣布:硒是人和动物生命必需的微量元素。
1988年10月,中国营养学会把硒列为15种每日必须摄入的膳食营养元素之一。
1994年中国卫生部将硒列为食品营养强化剂。
2003年,美国食品药品管理局(FDA)批准将硒作为抑癌剂,允许在含硒食品、药品包装上注明硒的抑癌作用,并明示:”硒能降低患癌风险”和”硒可在人体内产生抗癌变作用”。
2016年6月,美国食品及药物管理局(FDA)修订通过关于婴儿配方奶粉营养规格及标签的规例,要求必须把硒加入所需营养清单,并订立婴儿配方奶粉最低及最高的硒含量标准(分别为2.0微克/100千卡和7.0微克/100千卡)。
二、硒的作用
Function of selenium
国内外大量研究证实,硒具有抗氧化、防衰老、强免疫、预防肿瘤、参与激素代谢等确切的生物学功能,对于防治克山病、大骨节病等地方病和预防血管疾病、拮抗重金属离子毒性、预防老年痴呆等方面具有重要作用。
no.1 抗氧化
硒是人体内抗氧化剂谷胱甘肽过氧化物酶(GPX)的组成成分和活性中心,能在体内催化还原型谷胱甘肽与过氧化物的氧化还原反应,保护生物膜,维持细胞正常功能。
no.2 ?;じ卧?/p>
1957年化学家施瓦茨教授发现硒是营养性肝坏死的重要?;ひ蜃?。中国医学科学院肿瘤研究所著名专家于树玉教授在江苏启东县进行了十多年的补硒研究,发现补硒使当地肝炎发生率下降56%。更多研究表明:硒对肝脏损伤有一定的保护作用。
no.3 增强免疫
硒可调节T淋巴细胞、B 淋巴细胞、自然杀伤细胞等细胞的免疫功能,有助于增强细胞的先天性免疫和获得性免疫。硒还参与非特异性免疫,影响巨噬细胞在细胞内的杀伤活性和吞噬效率。
no.4 ?;ば难?/p>
硒有很强的抗氧化作用,能防止脂质过氧化物对心肌细胞的损害,或促进损伤心肌修复、再生,降低血脂、血粘,提高红细胞携氧能力,对心血管疾病有重要的防治作用。
no.5 ?;ひ认?,促进胰岛素分泌
硒既能?;ひ鹊合赴馐苎趸鹕?,又有类似胰岛素的作用,可调节血糖,改善糖尿病症状,延缓糖尿病并发症。
no.6 促进生长、维持生育功能
硒是生长与繁殖所必需的营养素,缺硒可致生长迟缓。许多动物实验表明硒缺乏可导致动物不育、不孕。硒在人类精子的生长、发育及存活的过程中发挥着重要作用,能?;ぞ用馐苎趸鹕?,提高男性生殖能力。
no.7 拮抗重金属,解毒
硒作为带负电荷的非金属离子,在生物体内可以与带正电荷的有害金属离子结合形成金属-硒蛋白复合物,能把诱发癌变的金属离子排出体外,缓解金属离子的毒性,起到解毒排毒的作用。研究发现:硒对铅、汞、镉、砷等有害化学物质有很强的拮抗作用,同时对黄曲霉素B1(目前已知的化学物质中致癌性最强的一种)有很强的清除能力。
no.8 调节甲状腺激素
含硒的脱碘酶在甲状腺的正常代谢中起到非常重要的作用,调节甲状腺激素,影响全身的分解和合成代谢,缺硒将导致甲状腺代谢出现紊乱。
no.9 ?;な泳跗鞴?/p>
硒能降低晶状体和视网膜的氧化损伤。临床发现,白内障患者及糖尿病性失明者补充硒后,视觉功能有明显改善。
no.10 抗肿瘤
集合证据表明,补充硒能够降低缺硒及可能非缺硒个体的患癌风险。补硒可使肝癌、肺癌、前列腺癌和结直肠癌的发生率及总癌发生率和死亡率明显降低,且原先硒水平越低的个体,补硒效果越好。不过,硒的抗癌作用与原有硒摄入量、硒的形态等多因素有关,有关研究尚待深入。
三、缺硒情况和缺硒危害
The Situation and the Harm of Selenium Deficiency
数据显示,中国是缺硒大国,有72%的地区属于缺硒或低硒地区,2/3的人口存在不同程度的硒摄入不足。大部分地区食物中硒含量在0.22ppm以下,东南沿海是富硒地区,也只有0.1ppm,是联合国卫生组织规定的最低限,科学补“硒”刻不容缓。

根据PubMed搜索的关于硒与人类健康的流行病学结果显示,缺硒与心血管疾病、神经系统疾病、内分泌系统疾病、感染性疾病、免疫相关疾病等40多种疾病有关。
四、为何要补硒?谁需要补?补多少?
Why/who/how much need to take in selenium
联合国教科文组织微量元素研究院副院长、俄罗斯生物医学院院长、俄罗斯FMBA毒理学研究院首席科学家史卡尼·阿纳托利教授在第四届世界硒博会之“硒与大健康发展国际高峰论坛”上发言时表示:“全球有超20亿人长期缺乏微量营养素,补硒可以降低癌症、心脏病、流行性病等风险”。史卡尼·阿纳托利教授表示,硒摄入量高,可将癌症风险降低到32%;与癌症相关的疾病死亡率降低36%;冠心病风险可降低24%,还可降低早产儿患败血症的风险,降低新生儿体重过轻的风险,并预防克山病和大骨节病等。
研究表明:
1、慢性病患者,如:肝?。ǜ窝?、脂肪肝、肝硬化、肝癌等)患者;心脑血管病患者;糖尿病患者;癌症患者;胃肠道疾病患者;白内障患者;艾滋病患者;前列腺疾病患者;
2、从事有毒有害工作者;常受辐射及环境污染人群;易疲劳人群和常年嗜烟酒者;免疫力低下的儿童和青少年;
3、健身爱好者及运动员;处于水土严重缺硒区域的人群。
上述人群血硒水平普遍偏低,体内对硒的消耗和需求量增加,是亟需补硒的人群。
中国营养学会2000年提出的每日膳食硒参考摄入量,18岁以上者推荐摄入量(RNI)为每天50微克~250微克,最高摄入量(UL)为每天400微克。从2014年开始,中国营养学会又根据国际、国内专家的研究成果,将人体每日硒摄入量推荐值最低标准提高到60微克。
硒是微量元素,并非摄入越多越好,研究表明:每日摄入超过800ug,可能有慢性中毒的危险。(此为以无机硒亚硒酸钠作为研究对象得出的结论,实验证明有机硒的安全范围比此标准更广)
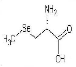
五、L硒是什么?
What is L-semc
L硒全称是:L-硒-甲基硒代半胱氨酸,是一种新型硒源类的食品营养强化剂,1960年被美国科学家从美国黄芪中首次分离,2002年被美国FDA认定为最新一代硒源类饮食补充剂。L-硒-甲基硒代半胱氨酸是有机硒的一种,自然环境中主要存在于植物和酵母中。

L-硒-甲基硒代半胱氨酸是一种天然含硒氨基酸,具有防治癌症、抗氧化、抗衰老、治疗心脑血管疾病、解重金属毒等作用,已于2009年被卫生部批准为新型营养强化剂。现代药理学研究表明不同形式的硒具有不同的抗癌效果,L-硒-甲基硒代半胱氨酸被证明是有效的化学抗癌剂之一。
六、L硒相比其他补硒源的优势?
Advantages of L-semc
目前国内常用的补硒营养强化剂有: 硒化卡拉胶、硒酵母、硒酸钠、亚硒酸钠、硒代甲硫氨酸等。研究表明有机硒比无机硒更安全有效。与现有补硒剂相比, L-硒-甲基硒代半胱氨酸具有毒性小、补硒效果好、抗癌生物活性强等优点。
相对亚硒酸钠等无机硒而言,它具有低毒的优点;L-硒-甲基硒代半胱氨酸和硒代甲硫氨酸是自然界仅有的两种含硒氨基酸,与硒代甲硫氨酸相比,它更容易被机体吸收,且不容易在体内大量蓄积而导致中毒,食用安全性更高,且甲基化硒具有更强的抗肿瘤作用。
鉴于以上众多优点,L-硒-甲基硒代半胱氨酸已于2009年被卫生部批准为新型营养强化剂,广泛应用于食品添加剂和保健品中。
参考资料:
1、WHO、CNS、CFDA等官网公告;
2、国家职业资格培训教程《公共营养师(基础知识)》,中国就业培训技术指导中心组织编写,中国劳动社会保障出版社,2007,ISBN 978-7-5045-6560-0
3、《实用营养学》蔡东联 主编,人民卫生出版社,2012,ISBN 978-7-117-15583-0
4、《康必硒——微量元素硒与健康》陈元明 著,中国财政经济出版社,2014.2,ISBN 978-7-5095-5085-4
5、《临床营养学》焦广宇 等 主编,人民卫生出版社,2001,ISBN 7-117-04598-1
6、《硒:分子生物学与人体健康(第4版)》(美)哈特菲尔德 等主编,雷新根 等主编译,科学出版社,2018.9(营养与健康前沿丛书),ISBN 978-7-03-057799-3
7、人民网
8、《硒毒性研究进展》,卿艳,[中图分类号]R916.3 [文献标识码]B [文章编号]1006—4028(2012)03—0216—03
9、《Safety evaluation of Se-methylselenocysteine as nutritional selenium》,DOI:10.1016/j.yrtph.2014.10.014
10、《新型营养强化剂L-硒-甲基硒代半胱氨酸的研究进展》,刘建群等,DOI:10.3969/j.issn.1006-2513.2011.02.019
11、国家食品药品监督管理总局、国家卫生计生委、国家中医药管理局关于发布《保健食品原料目录(一)》和《允许保健食品声称的保健功能目录(一)》的公告。链接:
12、《硒-甲基硒代半胱氨酸诱导未分化甲状腺癌细胞凋亡及其机制研究》,陈肖俊,苏州大学,内科学(专业学位),2018,博士论文

end
图:网络,侵删
文:网络,侵删
汇编:邵明

