纳米硒产品的优势(纳米硒的价格是多少)
在传统纳米材料制备的过程中,多数企业采用反应釜进行合成,得到的纳米材料存在粒度大、粒径分布宽以及批次差异大等缺点,加上传统生产工艺复杂、自动化程度低等问题,各大厂家正寻求新的途径提升产品质量以及自动化程度。
制药行业一直是流动化学兴起的主要推动力,有机合成一直是所有在流动化学设备上开展的研究工作重点。其他领域,例如生物燃料,石油化学和纳米颗粒合成,也可以从这些相同的优势中受益。
专门研究纳米颗粒合成的公司和大学对连续流微通道反应器需求不断增长。另外,关于纳米颗粒,量子点和胶体金属的连续形成的主题的出版物越来越多。
纳米粒子的物理和化学特性,它们被广泛应用于各个领域,导致对化学家提供可靠,大量高质量纳米粒子的可靠供应的需求不断增长。
其他化学方法来分批生产纳米颗粒存在以下问题:混合中的不均匀性,老化的重要性,温度难以精确控制以及批次之间的可重复性有问题。批处理过程通常取决于化学家的技能,而不仅取决于化学本身。(non-homogeneity in mixing, the importance of aging, the difficulty of accurate temperature control and questionable reproducibility from batch to batch)
流动化学具有许多优点,可帮助克服这些挑战,特别是快速且可重现的混合,出色的温度控制,进行加压反应的能力,??榛鸵子诜糯?。
连续流微通道反应器的优势以及研发人员在纳米材料合成方面的长期试验研究,在利用微反应器制备纳米材料领域积累了丰富的经验,目前已在纳米硫酸钡、纳米磷酸铁、纳米氧化锌等产品合成方面取得了巨大的成功。
微流控纳米颗粒药物制造系统把生物活性物质DNA、RNA、蛋白等,包装成纳米颗粒,具有粒径均一度高,批次可重复性,PDI低,包封率高,流速快,线性放大,无需摸索放大条件,操作简单等优点,应用于纳米药物。
产品类型:脂质纳米粒子、脂质体、多聚纳米颗粒、微乳、无机/有机纳米颗粒、纳米级的悬浮液。
基于纳米沉淀原理,开发了一种基于微反应器的连续过程,用于合成PMMA纳米颗粒(NP)。
纳米粒子可能的其他应用领域:消费品领域的荧光量子点,氧化铁纳米颗粒用于分离过程和靶向药物释放。
纳米碳酸钙
由于特殊的表面及量子物理性能,纳米材料技术受到广泛关注。而纳米级的碳酸钙由于其在精细化工领域有广泛的应用而尤以为甚。
纳米碳酸钙具有超细、超纯的特点,广泛应用于橡胶、塑料、造纸、化学建材、油墨、涂料、密封胶与胶粘剂等行业。以涂料行业为例,针对涂料中使用填料和骨料的特点,相较于传统的立德粉和钛白粉,专用纺锤形纳米碳酸钙的粒子非常细小,与水完全润湿,易于研磨和分散,有极强的吸附力,表面涂层光滑、色彩艳丽质感好,可取代市场价格昂贵且不稳定的钛白粉。尤其在一些特殊填料的高级纳米涂料配方调制中,可以降低基料粘合剂的用量,来降低成本,提高产品技术含量,开发和生产出更绿色环保的功能性涂料,获得经济效益。
由于市场的需求量,目前,碳酸钙的合成工艺主要由二氧化碳和氢氧化钙的沉淀反应来制得。然而,这一工艺的合成过程中,分散、混合和传质问题的研究一直存在不足。
二氧化碳和氢氧化钙的沉淀反应是个非常快的反应,因此,如何更好地溶解二氧化碳气体,就要求较高的混合及传质效果。近年来,微反应器技术的兴起引发了科学及工业界极大的兴趣。研究中也通过不同的微通道设计以及工艺过程的优化很大程度上展现了在传质上的优势。
在碳酸钙的沉淀过程中,过饱和比被定义为:

[Ca2+]为钙离子浓度,[CO32-]为碳酸离子浓度,Ksp为溶解的碳酸钙。
生成纳米颗粒必须要很高的过饱和值,所以从公式中可以看出,[Ca2+]和[CO32-]的数值也要大。
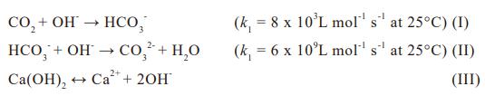
该反应的反应机理:

从动力学角度来分析,碳酸氢根离子的生成和碳酸离子的生成都是快反应,氢氧化钙也很容易分解,所以,体系中的钙离子浓度是可以保证的。尽管整个反应过程非常之快,但是二氧化碳从气相到液相之间的传质是一个慢过程,混合过程决定了碳酸离子的浓度。所以,过饱和值主要由二氧化碳的传质效率来决定。所以,相与相之间的混合以及二氧化碳的传质对于纳米碳酸钙的制备非常关键,控制好传质就能控制好纳米颗粒度的大小范围。
有文献报道,有用微孔滤膜等方法进行纳米碳酸钙合成的成功案例,由于传质和混合效率的加强,可以将纳米颗粒的大小控制得非常好。研究表明,随着二氧化碳通量密度的增加,生成的碳酸钙的颗粒度大小随之减小。与传统的釜式反应相比较,通过有微孔结构的反应器可以显著加强混合效果。通过调整和尝试不同的体系流速,增加在微通道结构中流体的速度,从而大大减小分散相过程中的几何级数,缩短传质距离,在一定范围内强化传质效果。
对于纳米碳酸钙的合成,可以将事先配好的氢氧化钙悬浮液泵入反应器,同时将二氧化碳气体进料,康宁反应器可以以优于传统釜式100倍的传质效率来强化二氧化碳气体在相之间的传质与混合,达到非常好的体系过饱和值,从而更精准地控制纳米颗粒的大小和粒径分布,提高产品的纯度。灵活的模块化设计,可以快速对反应的停留时间、进料速度、PH值等参数的调节,来获取不同的工艺参数,达到不同的工艺效果。
连续流微通道反应器对液液、气液及气液固等非均相体系有绝佳的混合效果,可以进行精准进料。和传统的微通道反应器相比,由于通道尺寸多在微米级在纳米材料的合成工艺过程中容易形成堵塞。
毫米级尺寸反应器的通道在可以处理粒径大小,通道结构平滑,无死体积,使得其在纳米材料合成领域大有作为。
纳米颗粒合成中的精确反应控制
流化学系统的关键特性之一是其内部润湿通道的直径非常小,通常在0.3-1 mm的范围内。这对微型反应器的混合质量和温度控制都具有巨大影响。
系统的流动条件由雷诺数(Re)定义,即流体的平均粘度乘以特征尺寸再除以运动粘度。对于低雷诺数(低于4,000),流动条件是层流的;对于高雷诺数,它们是湍流的。在连续流化学系统中,通道尺寸导致雷诺数始终很?。ㄍǔ?/p>
在层流条件下,混合受到扩散限制,并且速度极快。通常,在微反应器中,混合为约1-5秒。由于微型反应器的形状不会改变,并且不涉及物理搅拌器,因此它的重现性也很高。
通过使用专门设计的微型反应器(称为微型混合器芯片),混合时间甚至可以进一步减少到一秒钟以下。这使得微混合器芯片成为纳米颗粒合成方案的首选反应器,其中混合是关键参数。
微反应器通道的小直径也意味着其表面体积比极高。这样可实现出色的热传递以及快速,有效的温度控制和响应。不仅没有间歇式反应器中看到的温度梯度,而且任何放热或吸热都非常迅速地被吸收,从而在整个微反应器中保持了均匀的温度。
Seeberger教授(Max Planck Institute of Colloids & Interfaces)及其同事在描述玻璃微反应器中连续量子点合成过程的论文中指出了精确控制实验条件所起的关键作用。合成的量子点连续与使用类似的批处理方案所获得的颗粒分布相比,Seeberger研究小组的流动具有更窄的颗粒分布。Fitzner及其同事在流动微反应器中制备胶体金也表明了这种趋势。
铁纳米颗粒的连续合成中粒子的大小至关重要,因为它决定了其顺磁特性。在微反应器中进行铁纳米颗粒合成可以实现超快速混合,随后形成的精细磁性铁纳米粒子的质量和重现性均高于批量合成(batch synthesis)。
连续流动的过程灵活性
使用连续流化学系统制造纳米颗粒的其他优点包括易于扩展,系统模块化以及进行高压反应和多步工艺的能力。
由注射泵,微反应器和压力控制器组成的流化学系统是纳米颗粒合成的良好起点。该系统将允许用户进行一系列实验以确定最佳反应条件。一旦确定了最佳的反应条件,就可以使用相同的设置连续悬浮液来合成数克的纳米颗粒。
通过添加自动进样器并通过软件使系统自动化,系统的功能得以扩展,非常适合过程优化和研究反应参数。可以快速设置,自动运行一系列实验,并分别收集所有样品进行分析。Fitzner及其同事使用这种设置来研究反应温度对胶体金粒度分布的影响。
使用背压调节器还可以非常轻松,安全地对流化学系统进行加压。这样可以将溶剂加热到沸点以上,这通常被称为“过热”,从而提高了反应动力学并创造了超快反应条件。最重要的是,对系统加压可以最大程度地减少反应产生副产物气体时可能发生的除气效果(degassing effect)。
最后,微反应器和流动化学是多步工艺(通常称为“伸缩合成–telescoping synthesis”)的理想选择。通过简单地将第一反应器的输出连接到第二反应器的输入,可以建立两步反应。Seeberger的小组在其量子点工艺中利用了这种流化学优势。首先,在微型反应器中形成镉-硒纳米颗粒,然后在第二个串联的微型反应器中用硫化锌覆盖纳米颗粒。此两步反应作为一个连续过程进行,因此节省了时间和人工。
流动化学是一种有效的技术优化反应及其大规模合成的研究。可以帮助纳米颗粒工业的流化学的关键优势包括出色的反应控制,灵活性和易于扩展。这些益处是如此重要,以至于在不久的将来,连续流可能会成为纳米颗粒合成的选择方法。
一、 应用案例
纳米硫酸钡
微反应制备纳米硫酸钡产品特点:
① 粒径小,D90<50nm;
② 粒径分布窄,接近正态分布;
③ 形貌规则,近球形。
纳米磷酸铁
纳米磷酸铁是电池正极材料磷酸铁锂的前驱体,纳米磷酸铁粒度的均匀性、压实密度、Fe/P摩尔比等指标对锂电池的电性能有着重要的影响。使用微反应器制备磷酸铁能全面性的提高磷酸铁锂电池的电性能,且对比传统釜式工艺,微反应器具有以下优势:
①设备体积小,减少厂房投入;
②设备为静设备,能耗低(仅靠计量泵提供动力),维护成本低;
③混合效率高,提高时空收率;
④产品品质可控,无批次差异;
⑤连续化生产,可实现自动化控制,节约人工成本。
纳米氢氧化镁:平均粒径≤70nm,粒径分布均一,且形貌规则,均为片状。
纳米氧化锌
一定浓度的锌盐溶液和碱液通过计量泵按一定流量比例分别泵入微反应器,两相物料在微通道内实现快速混合,完成反应过程,得到氢氧化锌浆料,再经过洗涤分离、煅烧即可得到氧化锌粉末。平均粒径20-30nm;粒径均一,形貌接近球形。
碳纳米管催化剂
其它纳米材料制备
三、微反应器制备纳米材料优势
对比传统釜式工艺,微反应器制备纳米材料具有以下优势:
①生成的纳米材料粒度分布均匀、产品品质可控、无批次差异;
②设备为静设备、能耗低、操作维修简单,降低维护成本;
③微反应混合效率高,物料在反应器里可以达到毫秒级混合;
⑤设备体积小且可以实现连续化生产,降低厂房投入以及人力成本。
