小细胞肺癌补硒作用(肺癌吃硒片)
今天我们一起来学习一下最近发表的中国真实世界的研究,KRAS突变型晚期非小细胞肺癌的治疗和预后

1.KRAS突变在晚期非小细胞肺癌中的发生率是多少?
答:在肺腺癌中,西方人群中KRAS突变发生率为20%-30%,东方人群中KRAS突变发生率为10%-15%。KRAS突变和EGFR突变具有排他性。
2.KRAS突变型晚期非小细胞肺癌是否有靶向药可以选择?
答:目前尚无靶向药物选择,可能与KRAS突变的亚型较多,不能的亚型又具有不同的生物学行为有关。
3.本项回顾性研究结果发现的KRAS突变有何特点?
答:本研究共入组23例IIIB期和52例IV期非小细胞肺癌, 均有KRAS突变,其中肺腺癌 68例(90.7%),腺鳞癌2例,病理类型不明3例。
KRAS主要的4个突变类型是:G12C 33%,G12V 19%,G12A 12%,G12D 12%
三个主要的并存突变为:TP53-KRAS 31%,EGFR-KRAS 11%,STK11-KRAS 8%
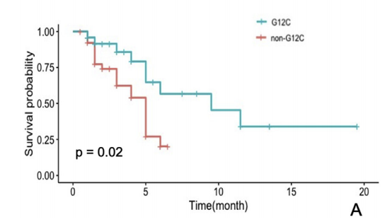
4.KRAS突变患者预后如何?
答:G12C亚型患者PFS更长一些,对比非G12C突变亚型,中位PFS为4.7个月 vs 2.5个月

5.对于KRAS突变型非小细胞肺癌患者,哪个化疗方案更好?
答:培美曲塞为基础、紫衫为基础和吉西他滨为基础,三种化疗方案比较,中位PFS为5个月 vs 1.5个月 vs 2.3个月

我的二维码

参考文献
Lei L,Wang WX,Yu ZY,Liang XB,Pan WW,Chen HF,Wang LP,Fang Y,Wang M,Xu CW,Fang MY.A Real-World Study in Advanced Non-Small Cell Lung Cancer with KRAS Mutations.Transl Oncol.2020 13(2):329-335.
