关节炎需要补钙吗(关节炎补钙有效果吗)
提到维生素,大家都不陌生,并常常会把它和补钙相互联系起来。而在最近的两篇研究中,详细阐述了维生素和关节炎之间的关系,具体如何?咱们往下看~

维生素D和类风湿关节炎(RA)全因死亡率之间存在明晰拐点
该研究共纳入1466例患者(59.89±14.14岁,58.94%为女性)。25(OH)D的加权平均水平为59.26±24.99nmol/L,38.95%的人缺乏(或严重缺乏)维生素D(与血清25(OH)D

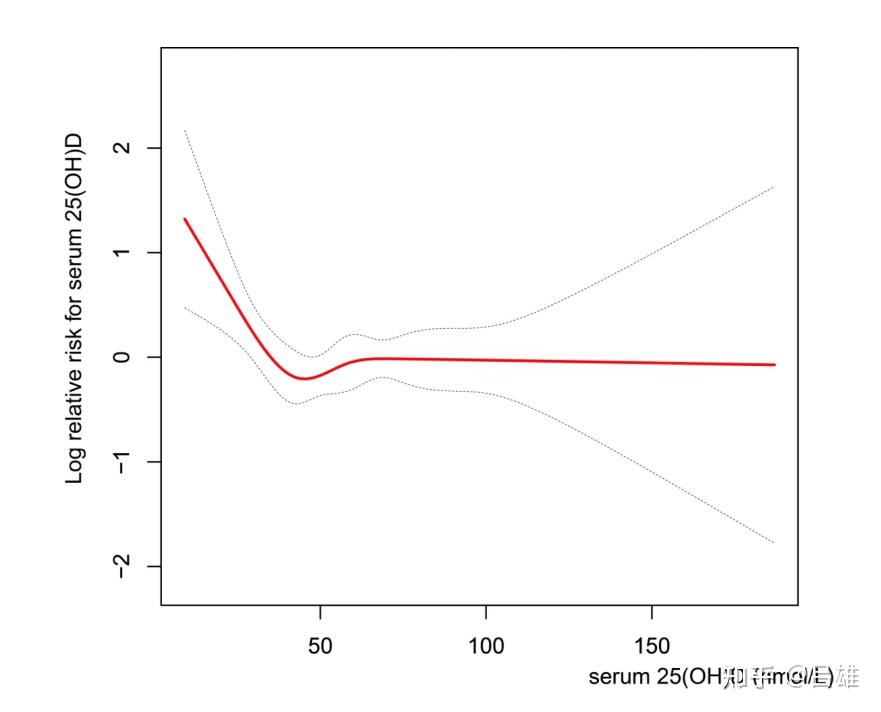
图1:RA患者血清25(OH)D与全因死亡率的关系
因此,在RA患者中,血清25(OH)D与全因死亡率之间存在L型关联,表明血清25(OH)D应提高到一定水平,以预防过早死亡[1]。
但关注我们频道比较久的读者们应该对应维生素D的益处不陌生了,那这篇研究还有什么特别之处呢?
对了,就是前面提到的“L型关联”,看前面的图片我们能非常清楚地知道:在L形曲线中,血清25(OH)D的拐点为37.30nmol/L,并发现当25(OH)D在血清25(OH)D超过37.30nmol /L的患者中,死亡率不再随25(OH)D水平的增加而下降。
也就是说,血清25(OH)D
值得一提的是,研究结果还表明,男性患者和老年患者(≥60岁)、高血压、糖尿病和体重指数≥25kg/m2的患者从高25(OH)D水平中受益更多。

骨关节是风湿免疫病最常累及的部位,而免疫炎症介导的骨代谢异常是风湿免疫并致残、致畸的主要原因。近年来的多项研究表明,维生素D除调节骨和钙磷代谢、防治骨质疏松外,还可以通过调节免疫系统来影响系统性自身免疫病的骨代谢[2]。
以前文的RA为例,破骨细胞在RA患者关节破坏中起关键作用,RANKL分泌增加是破骨细胞分化的必要条件。RANKL的表达受促炎因子如TNF-α、IL-1、IL-6、IL-17的调节,RA患者外周血存在异常增多的TNF-α、IL-6、IL-17,这些细胞因子参与RA的发病,通过血液循环到达关节局部,促进RA关节炎症的发生发展。
但除了维生素D之外,还有什么维生素是和骨关节炎有关的呢,另一篇文章又给我们指了个方向。
维生素K的这种作用,你了解吗
该研究纳入了259名有症状的膝骨关节炎患者,并随访2年(最终只有212人完成)。最终发现:维生素K摄入四分位数越高,24个月后骨关节炎指数(WOMAC)总评分和功能障碍评分下降越大[3]。
同时,亚组分析表明在基线疼痛视觉模拟疼痛法(VAS)疼痛严重的患者中,维生素K摄入四分位数越高,所有WOMAC评分的改善越大。维生素K摄入与MRI特征变化之间总体上没有显著相关性。
在亚组分析中,维生素K摄入与严重基线影像学分级参与者的胫股关节、髌骨和总软骨缺损的变化呈负相关,与严重基线VAS疼痛参与者和女性患者的总软骨和髌骨软骨缺损的变化呈负相关。

这样看来,除了维生素D,维生素K和骨关节炎的关系,也确实不一般呐~
骨关节炎是以软骨丢失、骨赘形成和滑膜病变等为特点的关节退行性变,好发于膝关节。维生素K是Gla蛋白γ-羧化过程的辅助因子。维生素K的缺乏会导致软骨细胞分化减少,导致骨骼发育过程中软骨内骨形成不良。
基质Gla蛋白(MGP)是一种维生素K依赖乳酸蛋白,是软骨和血管矿化的重要抑制剂,与骨关节炎有因果关系。这些Gla蛋白有着结合钙离子的作用,在这些组织的成骨作用调节中发挥着重要作用。
目前认为,在骨关节炎的发病机制中,维生素K通过影响依赖维生素K的骨和软骨蛋白从而发挥重要作用[4]。
说了这么多维生素和关节炎的关系,到底该怎么从膳食中补充呢?
维生素D含量高的食物排行表
// 鱼类

图2:鱼类中维生素D含量排行
(图片来源:/sort/sort-single-nutrition/vd/desc/13)
// 乳类

图3:乳类中维生素D含量排行
(图片来源:/sort/sort-single-nutrition/vd/desc/11)
// 谷类

图4:谷类中维生素D含量排行
(图片来源:/sort/sort-single-nutrition/vd/desc/1)
// 蛋类

图5:蛋类中维生素D含量排行
(图片来源:/sort/sort-single-nutrition/vd/desc/12)
// 菌类

图6:菌类中维生素D含量排行
(图片来源:/sort/sort-single-nutrition/vd/desc/5)
// 畜肉

图7:畜肉中维生素D含量排行
(图片来源:/sort/sort-single-nutrition/vd/desc/9)
其实相较起维生素D,维生素K倒是更容易在食物中补充(注意表中每种食物对应的每100克含量就知道)~
维生素K含量高的食物排行表
// 调味品类

图8:调味品中维生素K含量排行
(图片来源:/sort/sort-single-nutrition/vk/desc/17)
// 蔬菜

图9:蔬菜中维生素K含量排行
(图片来源:/sort/sort-single-nutrition/vk/desc/4)
相比起前两类食物,大家常吃的水果和坚果中维生素K含量要低很多,但是如果大家有意通过水果和坚果补充维生素K的话,也可以看看以下几种。
// 水果

图10:水果中维生素K含量排行
(图片来源:/sort/sort-single-nutrition/vk/desc/7)

图11:坚果中维生素K含量排行
(图片来源:/sort/sort-single-nutrition/vk/desc/8)
此外,前几日有读者在骨关节炎患者注意了,你的关节损伤可能和缺少这种元素有关!这篇文章下问如何补充镁元素,小编也一并把它放上来。感兴趣的朋友也可以点击图片下方的链接自行进行查阅。

图12:食物中镁含量排行前10名
(图片来源:/sort/sort-single-nutrition/mg)
关节炎的患者常常饱受疼痛折磨,小编今天总结这些补充维生素的食物也是希望大家能够从最简单的“吃”开始重视自己的健康,减轻疾病带来的痛苦。赶快吃起来吧!
