“不节食不运动,保您轻松瘦”。
真有这样的好事儿?还真有。
神药司美格鲁肽助您轻松实现梦想。
说完广告词就来聊聊神药为什么这么神?神药有副作用吗?神药需要长期使用吗?
神药为什么这么神?
司美格鲁肽出道:降糖
司美格鲁肽是人胰高血糖素样肽-1(GLP-1)的类似物,与人GLP-1有94%的序列同源性。用人话说:司美格鲁肽和GLP-1长的太像,跟同卵双胞胎似的,有时候连亲妈都会认错。
人体内有一对相互陪伴、作用相反的激素:胰岛素和胰高血糖素。
胰岛素的名气很大,都知道它能降血糖。
胰高血糖素就没那么有名。您可以望文生义地把它理解为是升高血糖的激素。
司美格鲁肽可以和GLP-1受体结合并激活受体,进而促进胰岛素分泌,同时抑制胰高血糖素分泌,增加体内胰岛素的水平,降低胰高血糖素的水平。这一升一降的最终效果是降低血糖。
2017年12月美国食品药品监督管理局(FDA)批准司美格鲁肽上市,用于治疗成人2型糖尿病。4年后的2021年4月,司美格鲁肽也在中国获批上市,治疗成人2型糖尿病。
司美格鲁肽出圈:减肥
患者只要用司美格鲁肽一个月,都有肉眼可见的减肥效果。没有减不减的问题,只有减多减少的差别。马斯克打司美格鲁肽针后一个月,就瘦了18斤。而且,越是在肥胖者,减肥效果越明显。

司美格鲁肽减肥的主要机制是减少进食。
接受司美格鲁肽治疗后,最突出的表现是食欲下降,不再有饥饿感,整天都是饱腹感。人们不需要用尽全力节食,也不需要锻炼,顺其自然就能减少进食,减肥减重。这被网友们戏称为“躺平式减肥”。
司美格鲁肽降低食欲的效果主要源于其削弱胃动力,使胃蠕动变慢、变弱,胃排空减慢。食物在胃内的停留时间延长,人为造成消化功能减弱,胃“积食”。
其次,司美格鲁肽还能抑制人体下丘脑管理进食的中枢,从顶层抑制食欲。
这种立体、交叉、全方位的食欲抑制作用很快就显现出减肥减重效果。
2021年6月4日,美国食品药品监督管理局(FDA)批准了司美格鲁肽用于肥胖症的治疗。强调适用于BMI超过30的单纯肥胖患者,或者BMI超过27并伴有与体重相关的疾病,如2型糖尿病的患者。
自此,司美格鲁肽在出道短短4年里,通过两连跳,从一个默默无闻的降糖药一举摘得减肥神药的桂冠。
不过该药在我国尚未获批用于肥胖症的治疗。
司美格鲁肽的超凡之处:长效
它的半衰期长达1周。只需每周皮下注射一次,就能达到满意的降糖减肥效果。这大大方便了患者使用。对比一下大家熟悉的皮下注射胰岛素,至少需要每天注射两次,有的甚至需要每天注射4次。
然而,还是有许多患者害怕“打针”。于是口服制剂应运而生。
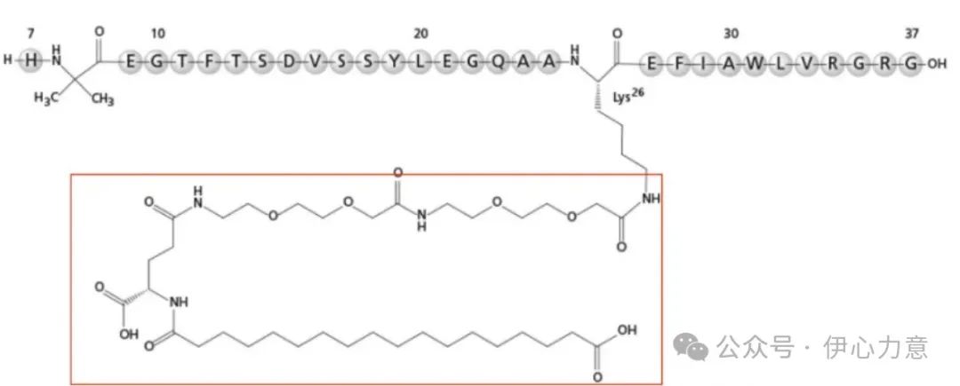
司美格鲁肽是由8个氨基酸手拉手组成的一条线性多肽链,分子量较大。让习惯吸收小分子物质(单个氨基酸、单糖)的小肠来吸收体积增大至少8倍的物质,确实勉为其难。
为了解决这个问题,科学家给这8个氨基酸组成的多肽链加进去一个基团(下图中红框围绕的基团)。这个基团的全名叫沙波立沙钠(SNAC)。SNAC与大分子多肽结合后,增加了多肽链的亲脂性。

人体细胞膜由可以流动的脂质双分子层构成。SNAC带着大分子多肽,嵌入到脂质双分子层中,随着脂质流动进入小肠壁内,完成了跨小肠上皮细胞的吸收。
SNAC作为口服吸收促进剂,可以帮助人类实现大分子物质(胰岛素)口服给药的梦想。在不久的将来,糖尿病患者不再需要每天皮下注射胰岛素,胰岛素可以口服了。
即便有SNAC的助力,但是与皮下注射相比,口服司美格鲁肽的生物利用度还是太低,仅有1%,而皮下注射的生物利用度是89%。所以口服药物要求每天一次,而且,效果不如皮下注射好,副作用高于皮下注射。这是后话。
下期我们接着聊司美格鲁肽的其它“神”作用以及副作用
死磕自己,帮助大家!
我是尹力,下期见!

版权声明:本文为互联网用户自发贡献的内容,其中观点及相关内容仅代表作者本人。本网站仅提供信息存储空间服务,不拥有这些内容的所有权,并且不承担任何法律责任。如果发现本网站上有涉嫌侵权或违法违规的内容,请立即联系我们的客服QQ:6532516以便进行及时清除。