补硒含量多少(富硒鸡蛋硒含量)
富硒食品
硒是一种必须的微量元素,但我国72%的土地处于缺硒状态。随着生活质量的提高,富硒食品逐渐被消费者认可。
1、富硒标准
富硒茶叶(NY/T 600)、富硒大米(GB/T 22499-2008)、富硒水(GB 8537-2008)已有国标或行标,但富硒鸡蛋目前缺乏国家和行业标准,且卫生标准(GB 2762—2012)《食品中污染物限量标准》已废除硒的最高限量。中国营养学会针对不同人群建议补硒量如下(表1)。

通过(表1)可知除严重疾病患者,日常补硒量应为25-100ug。如果按照每天1个鸡蛋,每个鸡蛋60g计算,蛋硒浓度则为0.42-1.67ppm是富硒鸡蛋的合适浓度。

2、酵母硒在富硒蛋上的应用
Cuiling Pan等(2007)年,通过在68周龄罗曼蛋日粮鸡补充不同浓度的酵母硒和亚硒酸钠,结果显示有机硒沉积效率显著高于无机硒,且高剂量的酵母硒沉积存在明显的时间效应(表 2)。

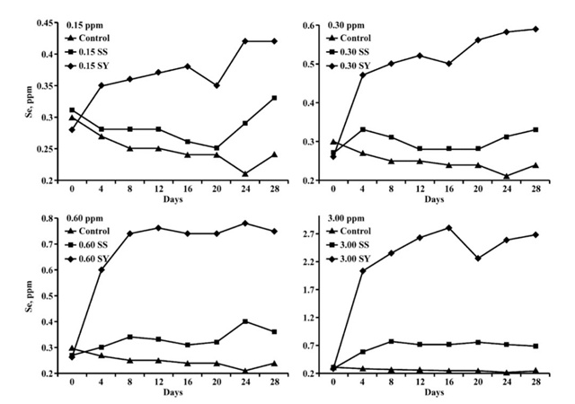
酵母硒是目前市场使用最广泛、富集效果好的有机硒。 Lu J 等(2018)年,在海兰褐壳蛋鸡以亚硒酸钠(SS)和酵母硒(SY)补充0.3ppm,酵母硒显著提高蛋硒含量(图 1)

Payne R L (2005)年,在36周龄海兰褐蛋鸡日粮补充不同浓度的亚硒酸钠和酵母硒,结果证明3.0ppm的酵母硒可使蛋硒浓度达到2.7ppm ,3.0ppm亚硒酸钠可使蛋硒沉积达到0.6ppm(图 2)。

3、总结
饲料中补充酵母硒能显著提高蛋硒沉积。超高剂量的亚硒酸钠虽然也能达到富硒,但高剂量的亚硒酸钠能造成慢性中毒,不利于在蛋鸡上的应用。总结前人研究结果:富硒蛋的生产饲料中最低应补充酵母硒0.6ppm,且应在补硒后2周开始收蛋。

Lu J, Qu L, Shen M M, et al. Comparison of dynamic change of egg selenium deposition after feeding sodium selenite or selenium-enriched yeast.. Poult Sci, 2018. Cuiling Pan ?, Kehe Huang , ?, Yuxin Zhao ?, et al. Effect of Selenium Source and Level in Hen’s Diet on Tissue Selenium Deposition and Egg Selenium Concentrations. J Agric Food Chem, 2007, 55(3):1027-1032. Payne R L, Lavergne T K, Southern L L. Effect of inorganic versus organic selenium on hen production and egg selenium concentration.. Poultry Science, 2005, 84(2):232.
